Track-Record-Press.gif
Western Musketeer pauses at Plymouth in May 1975. Pic: Adrian Curtis

Western Musketeer pauses at Plymouth in May 1975. Pic: Adrian Curtis

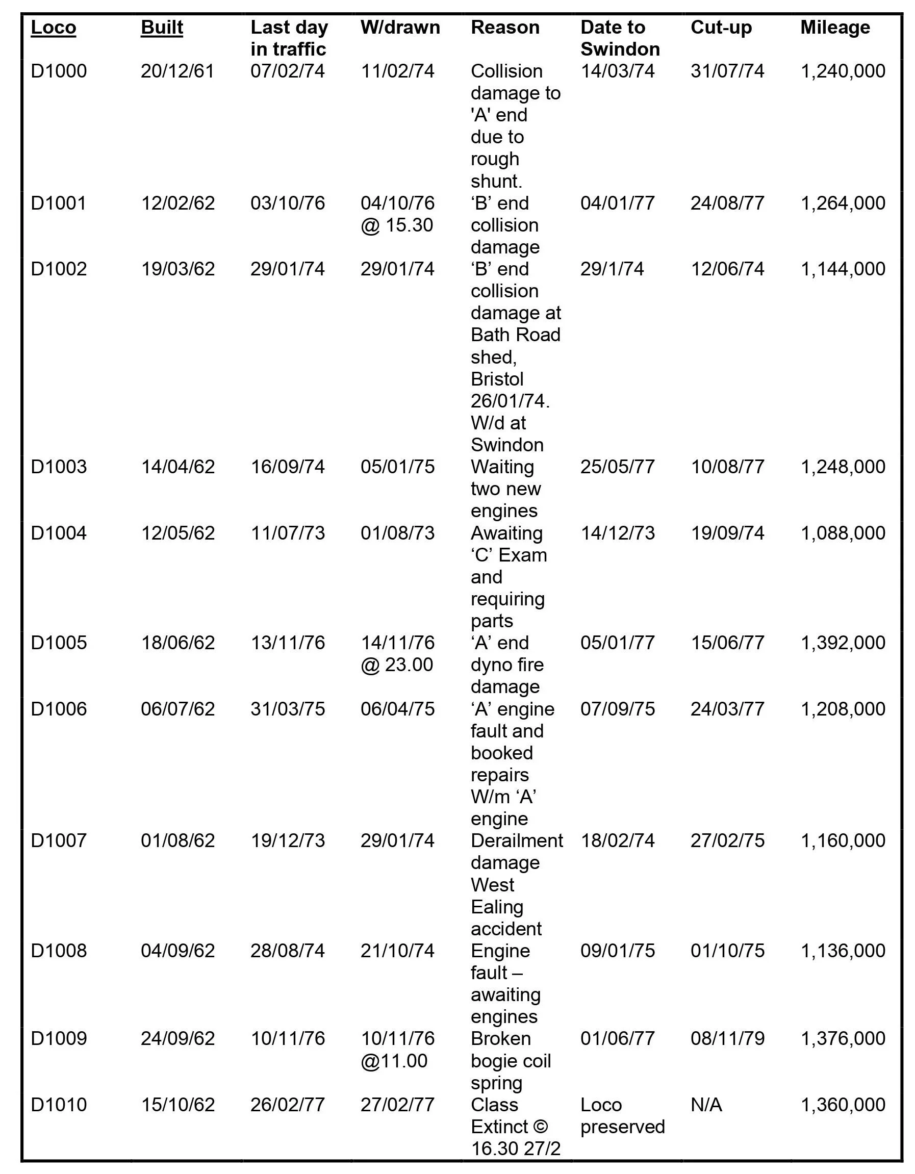
SWINDON BUILT LOCOMOTIVES AT A GLANCE BUILD AND WITHDRAWAL NOTES

0001.jpg
0002.jpg
0003.jpg
0004.jpg

CREWE BUILT LOCOMOTIVES AT A GLANCE BUILD AND WITHDRAWAL NOTES

0001.jpg
0002.jpg
0003.jpg
0004.jpg
0005.jpg

 * THE WESTERN FACT FILES HAVE BEEN WITHDRAWN FROM THE WEBSITE AS NEW RESEARCH DISCOVERIES HAS MADE SOME OF THEM INCORRECT AND OUT OF DATE. FOR THE CORRECT AND UPDATED LOCO VERSIONS, PLEASE COLLECT THE WESTERN CHRONICLES.

Track-Record-Press.gif

© Track Record Press (2021): Independent Railway Book Publishers